Incidence graph: Difference between revisions
No edit summary |
No edit summary |
||
| Line 11: | Line 11: | ||
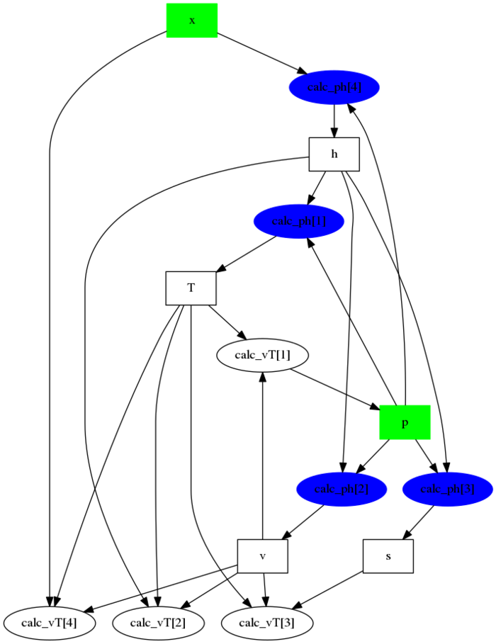
A more complex example is this one, which represents a simple Rankine Cycle power station ({{src|models/johnpye/fprops/rankine_fprops.a4c}}): | A more complex example is this one, which represents a simple Rankine Cycle power station ({{src|models/johnpye/fprops/rankine_fprops.a4c}}): | ||
[[Image:Rankine-incidence-graph.png|700px|thumb|none|Incidence graph for a simple Rankine Cycle calculation ({{src|models/johnpye/fprops/rankine_fprops.a4c}}). | [[Image:Rankine-incidence-graph.png|700px|thumb|none|Incidence graph for a simple Rankine Cycle calculation ({{src|models/johnpye/fprops/rankine_fprops.a4c}}).]] | ||
In both of these diagrams, the fixed variables are shown in green; all other variables are shown in boxes, and equations are shown in ellipses. | In both of these diagrams, the fixed variables are shown in green; all other variables are shown in boxes, and equations are shown in ellipses. | ||
Revision as of 04:32, 3 February 2011
You can create an incidence graph and view it on-screen if your copy of ASCEND is linked to GraphViz. We have currently only tested this on Linux, but it should transfer to Windows without too many problems.
To show the incidence graph, use the Tools->Incidence Graph menu option in the PyGTK GUI.
For the simple models/johnpye/testlog10.a4c model, the following incidence graph results:
File:Simple-incidence-graph.png
A more complex example is this one, which represents a simple Rankine Cycle power station (models/johnpye/fprops/rankine_fprops.a4c):

In both of these diagrams, the fixed variables are shown in green; all other variables are shown in boxes, and equations are shown in ellipses.
We plan to improve the graph by ranking the variables, so that they appear down the page in the order that ASCEND solves them.